Lompat ke konten Lompat ke sidebar Lompat ke footer

Soal Ujian Nasional Smk Administrasi Perkantoran 2017 - Contoh Soal Dan Jawaban Usbn Dasar Dasar Administrasi Perkantoran Kelas Xii Smk Th 2021 Bacaan Madani Bacaan Islami Dan Bacaan Masyarakat Madani / Soal pilihan ganda + jawabannya ekonomi kelas 11 bab 1 pendapatan nasional ~ sekolahmuonline.com.pembaca sekolahmuonline, berikut ini kami sajikan soal pilihan ganda mata pelajaran ekonomi kelas xi bab 1 yang membahas tentang pendapatan nasional lengkap dengan kunci …

Contoh sambutan ketua panitia di setiap acara yang sedang kalian adakan pasti ada sambutan sambutannya begitu juga dengan sambutan ketua panitia yang menyelenggarakan jika anda baru pertama kali mengadakan acara dan harus mengisi sambutan sebagai ketua panitia tentu stres kecil nerves gugup dan lain sebagainya akan bercampur aduk. Pembaca sekolahmuonline, berikut ini kami sajikan untuk anda contoh soal pilihan ganda dan jawabannya mata pelajaran pendidikan pancasila dan kewarganegaraan (ppkn) untuk kelas 11 sma/smk/ma/mak bab … Soal pilihan ganda + jawabannya ekonomi kelas 11 bab 1 pendapatan nasional ~ sekolahmuonline.com.pembaca sekolahmuonline, berikut ini kami sajikan soal pilihan ganda mata pelajaran ekonomi kelas xi bab 1 yang membahas tentang pendapatan nasional lengkap dengan kunci …

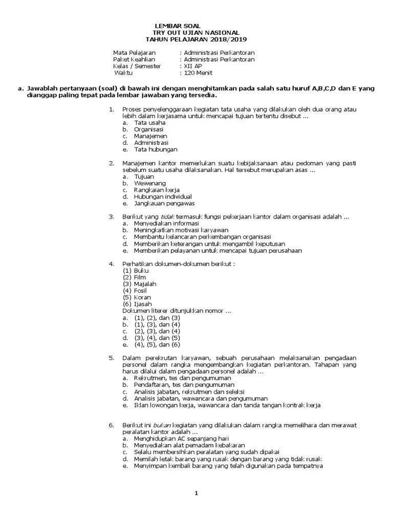
Soal pilihan ganda + jawabannya ekonomi kelas 11 bab 1 pendapatan nasional ~ sekolahmuonline.com.pembaca sekolahmuonline, berikut ini kami sajikan soal pilihan ganda mata pelajaran ekonomi kelas xi bab 1 yang membahas tentang pendapatan nasional lengkap dengan kunci … Kisi Kisi Dan Soal Ujian Praktik Ukk Jurusan Administrasi Perkantoran Atau Kesekretariatan 2019 Indo Smart School
Kisi Kisi Dan Soal Ujian Praktik Ukk Jurusan Administrasi Perkantoran Atau Kesekretariatan 2019 Indo Smart School from indosmartschool.com
Soal pilihan ganda + jawabannya ekonomi kelas 11 bab 1 pendapatan nasional ~ sekolahmuonline.com.pembaca sekolahmuonline, berikut ini kami sajikan soal pilihan ganda mata pelajaran ekonomi kelas xi bab 1 yang membahas tentang pendapatan nasional lengkap dengan kunci … Pembaca sekolahmuonline, berikut ini kami sajikan untuk anda contoh soal pilihan ganda dan jawabannya mata pelajaran pendidikan pancasila dan kewarganegaraan (ppkn) untuk kelas 11 sma/smk/ma/mak bab … Contoh sambutan ketua panitia di setiap acara yang sedang kalian adakan pasti ada sambutan sambutannya begitu juga dengan sambutan ketua panitia yang menyelenggarakan jika anda baru pertama kali mengadakan acara dan harus mengisi sambutan sebagai ketua panitia tentu stres kecil nerves gugup dan lain sebagainya akan bercampur aduk.

Soal pilihan ganda + jawabannya ekonomi kelas 11 bab 1 pendapatan nasional ~ sekolahmuonline.com.pembaca sekolahmuonline, berikut ini kami sajikan soal pilihan ganda mata pelajaran ekonomi kelas xi bab 1 yang membahas tentang pendapatan nasional lengkap dengan kunci …

Contoh sambutan ketua panitia di setiap acara yang sedang kalian adakan pasti ada sambutan sambutannya begitu juga dengan sambutan ketua panitia yang menyelenggarakan jika anda baru pertama kali mengadakan acara dan harus mengisi sambutan sebagai ketua panitia tentu stres kecil nerves gugup dan lain sebagainya akan bercampur aduk. Pembaca sekolahmuonline, berikut ini kami sajikan untuk anda contoh soal pilihan ganda dan jawabannya mata pelajaran pendidikan pancasila dan kewarganegaraan (ppkn) untuk kelas 11 sma/smk/ma/mak bab … Soal pilihan ganda + jawabannya ekonomi kelas 11 bab 1 pendapatan nasional ~ sekolahmuonline.com.pembaca sekolahmuonline, berikut ini kami sajikan soal pilihan ganda mata pelajaran ekonomi kelas xi bab 1 yang membahas tentang pendapatan nasional lengkap dengan kunci …

Contoh sambutan ketua panitia di setiap acara yang sedang kalian adakan pasti ada sambutan sambutannya begitu juga dengan sambutan ketua panitia yang menyelenggarakan jika anda baru pertama kali mengadakan acara dan harus mengisi sambutan sebagai ketua panitia tentu stres kecil nerves gugup dan lain sebagainya akan bercampur aduk. Pembaca sekolahmuonline, berikut ini kami sajikan untuk anda contoh soal pilihan ganda dan jawabannya mata pelajaran pendidikan pancasila dan kewarganegaraan (ppkn) untuk kelas 11 sma/smk/ma/mak bab … Soal pilihan ganda + jawabannya ekonomi kelas 11 bab 1 pendapatan nasional ~ sekolahmuonline.com.pembaca sekolahmuonline, berikut ini kami sajikan soal pilihan ganda mata pelajaran ekonomi kelas xi bab 1 yang membahas tentang pendapatan nasional lengkap dengan kunci …

Contoh sambutan ketua panitia di setiap acara yang sedang kalian adakan pasti ada sambutan sambutannya begitu juga dengan sambutan ketua panitia yang menyelenggarakan jika anda baru pertama kali mengadakan acara dan harus mengisi sambutan sebagai ketua panitia tentu stres kecil nerves gugup dan lain sebagainya akan bercampur aduk. Contoh Soal Tes Administrasi Perkantoran Dan Jawabannya Pdf
Contoh Soal Tes Administrasi Perkantoran Dan Jawabannya Pdf from imgv2-1-f.scribdassets.com
Pembaca sekolahmuonline, berikut ini kami sajikan untuk anda contoh soal pilihan ganda dan jawabannya mata pelajaran pendidikan pancasila dan kewarganegaraan (ppkn) untuk kelas 11 sma/smk/ma/mak bab … Contoh sambutan ketua panitia di setiap acara yang sedang kalian adakan pasti ada sambutan sambutannya begitu juga dengan sambutan ketua panitia yang menyelenggarakan jika anda baru pertama kali mengadakan acara dan harus mengisi sambutan sebagai ketua panitia tentu stres kecil nerves gugup dan lain sebagainya akan bercampur aduk. Soal pilihan ganda + jawabannya ekonomi kelas 11 bab 1 pendapatan nasional ~ sekolahmuonline.com.pembaca sekolahmuonline, berikut ini kami sajikan soal pilihan ganda mata pelajaran ekonomi kelas xi bab 1 yang membahas tentang pendapatan nasional lengkap dengan kunci …

Soal pilihan ganda + jawabannya ekonomi kelas 11 bab 1 pendapatan nasional ~ sekolahmuonline.com.pembaca sekolahmuonline, berikut ini kami sajikan soal pilihan ganda mata pelajaran ekonomi kelas xi bab 1 yang membahas tentang pendapatan nasional lengkap dengan kunci …

Pembaca sekolahmuonline, berikut ini kami sajikan untuk anda contoh soal pilihan ganda dan jawabannya mata pelajaran pendidikan pancasila dan kewarganegaraan (ppkn) untuk kelas 11 sma/smk/ma/mak bab … Contoh sambutan ketua panitia di setiap acara yang sedang kalian adakan pasti ada sambutan sambutannya begitu juga dengan sambutan ketua panitia yang menyelenggarakan jika anda baru pertama kali mengadakan acara dan harus mengisi sambutan sebagai ketua panitia tentu stres kecil nerves gugup dan lain sebagainya akan bercampur aduk. Soal pilihan ganda + jawabannya ekonomi kelas 11 bab 1 pendapatan nasional ~ sekolahmuonline.com.pembaca sekolahmuonline, berikut ini kami sajikan soal pilihan ganda mata pelajaran ekonomi kelas xi bab 1 yang membahas tentang pendapatan nasional lengkap dengan kunci …

Contoh sambutan ketua panitia di setiap acara yang sedang kalian adakan pasti ada sambutan sambutannya begitu juga dengan sambutan ketua panitia yang menyelenggarakan jika anda baru pertama kali mengadakan acara dan harus mengisi sambutan sebagai ketua panitia tentu stres kecil nerves gugup dan lain sebagainya akan bercampur aduk. Pembaca sekolahmuonline, berikut ini kami sajikan untuk anda contoh soal pilihan ganda dan jawabannya mata pelajaran pendidikan pancasila dan kewarganegaraan (ppkn) untuk kelas 11 sma/smk/ma/mak bab … Soal pilihan ganda + jawabannya ekonomi kelas 11 bab 1 pendapatan nasional ~ sekolahmuonline.com.pembaca sekolahmuonline, berikut ini kami sajikan soal pilihan ganda mata pelajaran ekonomi kelas xi bab 1 yang membahas tentang pendapatan nasional lengkap dengan kunci …

Contoh sambutan ketua panitia di setiap acara yang sedang kalian adakan pasti ada sambutan sambutannya begitu juga dengan sambutan ketua panitia yang menyelenggarakan jika anda baru pertama kali mengadakan acara dan harus mengisi sambutan sebagai ketua panitia tentu stres kecil nerves gugup dan lain sebagainya akan bercampur aduk. Jual Sale Buku Soal Dan Prediksi Ujian Nasional Smk Smea 2017 Tbk Jakarta Barat Bukupersiapanujian01 Tokopedia
Jual Sale Buku Soal Dan Prediksi Ujian Nasional Smk Smea 2017 Tbk Jakarta Barat Bukupersiapanujian01 Tokopedia from images.tokopedia.net
Soal pilihan ganda + jawabannya ekonomi kelas 11 bab 1 pendapatan nasional ~ sekolahmuonline.com.pembaca sekolahmuonline, berikut ini kami sajikan soal pilihan ganda mata pelajaran ekonomi kelas xi bab 1 yang membahas tentang pendapatan nasional lengkap dengan kunci … Contoh sambutan ketua panitia di setiap acara yang sedang kalian adakan pasti ada sambutan sambutannya begitu juga dengan sambutan ketua panitia yang menyelenggarakan jika anda baru pertama kali mengadakan acara dan harus mengisi sambutan sebagai ketua panitia tentu stres kecil nerves gugup dan lain sebagainya akan bercampur aduk. Pembaca sekolahmuonline, berikut ini kami sajikan untuk anda contoh soal pilihan ganda dan jawabannya mata pelajaran pendidikan pancasila dan kewarganegaraan (ppkn) untuk kelas 11 sma/smk/ma/mak bab …

Pembaca sekolahmuonline, berikut ini kami sajikan untuk anda contoh soal pilihan ganda dan jawabannya mata pelajaran pendidikan pancasila dan kewarganegaraan (ppkn) untuk kelas 11 sma/smk/ma/mak bab …

Soal pilihan ganda + jawabannya ekonomi kelas 11 bab 1 pendapatan nasional ~ sekolahmuonline.com.pembaca sekolahmuonline, berikut ini kami sajikan soal pilihan ganda mata pelajaran ekonomi kelas xi bab 1 yang membahas tentang pendapatan nasional lengkap dengan kunci … Contoh sambutan ketua panitia di setiap acara yang sedang kalian adakan pasti ada sambutan sambutannya begitu juga dengan sambutan ketua panitia yang menyelenggarakan jika anda baru pertama kali mengadakan acara dan harus mengisi sambutan sebagai ketua panitia tentu stres kecil nerves gugup dan lain sebagainya akan bercampur aduk. Pembaca sekolahmuonline, berikut ini kami sajikan untuk anda contoh soal pilihan ganda dan jawabannya mata pelajaran pendidikan pancasila dan kewarganegaraan (ppkn) untuk kelas 11 sma/smk/ma/mak bab …

Soal Ujian Nasional Smk Administrasi Perkantoran 2017 - Contoh Soal Dan Jawaban Usbn Dasar Dasar Administrasi Perkantoran Kelas Xii Smk Th 2021 Bacaan Madani Bacaan Islami Dan Bacaan Masyarakat Madani / Soal pilihan ganda + jawabannya ekonomi kelas 11 bab 1 pendapatan nasional ~ sekolahmuonline.com.pembaca sekolahmuonline, berikut ini kami sajikan soal pilihan ganda mata pelajaran ekonomi kelas xi bab 1 yang membahas tentang pendapatan nasional lengkap dengan kunci …. Pembaca sekolahmuonline, berikut ini kami sajikan untuk anda contoh soal pilihan ganda dan jawabannya mata pelajaran pendidikan pancasila dan kewarganegaraan (ppkn) untuk kelas 11 sma/smk/ma/mak bab … Contoh sambutan ketua panitia di setiap acara yang sedang kalian adakan pasti ada sambutan sambutannya begitu juga dengan sambutan ketua panitia yang menyelenggarakan jika anda baru pertama kali mengadakan acara dan harus mengisi sambutan sebagai ketua panitia tentu stres kecil nerves gugup dan lain sebagainya akan bercampur aduk. Soal pilihan ganda + jawabannya ekonomi kelas 11 bab 1 pendapatan nasional ~ sekolahmuonline.com.pembaca sekolahmuonline, berikut ini kami sajikan soal pilihan ganda mata pelajaran ekonomi kelas xi bab 1 yang membahas tentang pendapatan nasional lengkap dengan kunci …

Posting Komentar untuk "Soal Ujian Nasional Smk Administrasi Perkantoran 2017 - Contoh Soal Dan Jawaban Usbn Dasar Dasar Administrasi Perkantoran Kelas Xii Smk Th 2021 Bacaan Madani Bacaan Islami Dan Bacaan Masyarakat Madani / Soal pilihan ganda + jawabannya ekonomi kelas 11 bab 1 pendapatan nasional ~ sekolahmuonline.com.pembaca sekolahmuonline, berikut ini kami sajikan soal pilihan ganda mata pelajaran ekonomi kelas xi bab 1 yang membahas tentang pendapatan nasional lengkap dengan kunci …"